企業信息
北京智控理工偉業科教設備有限公司
地址:北京市通州區馬駒橋景盛南二街15號(中關村園區金橋科技產業基地)
電 話:010-82827827 82827835
傳 真:010-68948559
網 址:http://www.bjlg.com
郵 箱:Ligong99@163.com
QQ:476528239 1183686277
更多相關信息
- 無線電發送與接收實驗
- 位置隨動控制系統
- 溫度控制模型
- 信號與系統·控制理論計算機控制技術實驗箱(配USB數據采集卡、聯網型)
- 信號與系統控制理論實驗箱
- 電能表接線仿真培訓裝置
- 低壓計量反竊電仿真培訓裝置
- 10kV高壓柜實訓裝置
- 低壓電路實訓裝置
- 斷路器漏電保護培訓裝置
- 二次負荷及壓降模擬系統
- 門禁控制系統考核培訓裝置
- 巡更管理系統考核培訓裝置
- 通風排煙系統考核培訓裝置
- 氣體滅火系統培訓裝置
- 采油實訓裝置
- 傳熱操作實訓裝置
- 吸收工考核培訓裝置
- 萃取工考核培訓裝置(DCS控制)
- 輪胎硫化機實訓裝置
- 全數字交流變頻控制提升機實訓裝置
- 架線式煤礦電機車變頻調速系統實訓裝置
- 礦井提升機系統實訓裝置(直流調速)(工程型)
- 三專兩閉鎖演示裝置
- 井下雙回路供電演示裝置
- 礦井膠帶輸送機電氣控制實訓裝置
- 礦井通風機電氣控制實訓裝置
- 絡筒機電氣技能實訓裝置
- 劍桿織機電氣技能實訓裝置
- 絡筒機電氣技能實訓裝置
- 整經機電氣技能實訓裝置
- 細紗機電氣技能實訓裝置
- 梳棉機電氣技能實訓裝置
- 單軸流開棉機電氣技能實訓裝置
- 冷飲制品自動化生產線實訓系統(工程型)
- 啤酒自動化生產線過程控制實訓系統(工程型)
- 電力系統發電機保護仿真實訓裝置
- 電力系統微機變壓器保護實訓考核裝置
- 熱工儀表及控制實訓裝置
- 裝表接電工實訓系統
LGPFDY-1單容水箱液位實訓對象系統(模擬量實物)
LGPFDY-1單容水箱液位實訓對象系統(模擬量實物)實訓目的是對單容水箱液位的控制。掌握單容水箱液位的建模方法1控制系統的設計方法(包括PID控制算法設計、控制參數整定)。實訓以S7-200 PLC為控制器,采用組態王組態人機畫面實現對過程的監測與控制,被控對象為單容水箱,采用PID算法控制調節閥的開度。觸摸屏SMART LINE與S7-200 PLC進行通信連接,提供良好的人機界面,在實驗時進行參數的設定修改以及實時的液位狀態曲線顯示,進行整個過程的實驗監控。

單容水箱液位定值控制實驗系統組成結構如下圖所示,控制器采用S7-200PLC,被控對象為單容水箱,水箱的液位經液位傳感器測量變送至PLC, PLC對數據進行處理,根據控制要求進行運算,結果經模擬量輸出給執行器,執行器為電動調節閥。上位計算機通過PC/PPI電纜和下位機PLC串口通信,上位機安裝有STEP7-MicroWin編程軟件和組態王監控軟件,可以進行控制算法編程,并為過程控制實驗提供良好的人機界面,可以在實驗時進行參數的設定修改以及響應曲線的在線顯示,進行整個實驗系統的監控。
1液位控制的實現
除模擬PID調節器外,可以采用計算機PID算法控制。首先由差壓傳感器檢測出水箱水位;水位實際值通過單片機進行A/D轉換,變成數字信號后,被輸入計算機中;*后,在計算機中,根據水位給定值與實際輸出值之差,利用PID程序算法得到輸出值,再將輸出值傳送到單片機中,由單片機將數字信號轉換成模擬信號。*后,由單片機的輸出模擬信號控制交流變頻器,進而控制電機轉速,從而形成一個閉環系統,實現水位的計算機自動控制。
2被控對象
本設計探討的是單容水箱的液位控制問題。為了能更好的選取控制方法和參數,有必要知道被控對象一上水箱的結構和特性。
由圖2-1所示可以知道,單容水箱的流量特性:
水箱的出水量與水壓有關,而水壓又與水位高度近乎成正比。這樣, 當水箱水位升高時,其出水量也在不斷增大。所以,若閥V開度適當,在不溢出的情況下,當水箱的進水量恒定不變時,水位的上升速度將逐漸變慢,*終達到平衡。
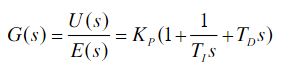
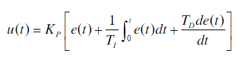
3、PID控制原理
一般,在控制系統中,控制器*常用的控制規律是PID控制。常規PID控制系統原理框圖如圖3-1所示。系統由模擬PID控制器和被控對象組成。
圖3-1模擬PID控制系統原理框圖
PID控制器。它的控制規律為
寫成傳遞函數形式為
式中 KP--比例系數;
TI-積分時間常數;
TD-微分時間常數;
從系統的穩定性、響應速度、超調量和穩態精度等各方面來考慮, PID控制器各校正環節的作用如下:
1、比例環節
用于加快系統的響應速度,提高系統的調節精度。KP越大,系統的響應速度越快,系統的調節精度越高,但易產生超調,甚至會導致系統不穩定。KP取值過小,則會降低調節精度,使響應速度緩慢,從而延長調節時間,使系統靜態、動態特性變壞。
2、積分環節
主要用來消除系統的穩態誤差。TI越小,系統的靜態誤差消除越快,但TI過小,在響應過程的初期會產生積分飽和現象,從而引起響應過程的較大超調。若TI過大,將使系統靜態誤差難以消除,影響系統的調節精度。
3、微分環節
能改善系統的動態特性,其作用主要是在響應過程中抑制偏差向任何方向的變化,對偏差變化進行提前預報。但TD過大,會使響應過程提前制動,從而延長調節時間,而且會降低系統的抗干擾性能。
4西門子觸摸屏
準確提供了人機界面的標準功能,經濟實用,具備高性價比。作為新一代的人機界面產品,精彩系列操作屏采用了全新的技術和系統設計,個性鮮明,特點突出:
(1),高分辨率寬屏顯示
800× 480 dpi寬屏顯示設計和傳統屏幕相比具有更大的可視面積,使單個畫面中可以顯示更多的信息,讓操作員具有更舒適的視覺體驗,高分辨率使得畫面更清晰,畫質更細膩。
(2).強大且豐富的通訊能力
PPI通訊協議確保精彩系列面板與S7-200建立高速無縫的連接,和S7-200PLC組成完美的小型自動化解決方案。集成的RS 422/485通訊口使精彩系列面板的通訊更加靈活,可以和市場主流的小型PLC建立穩定可靠的通訊連接。
5總結
在此次PLC實訓過程中我們更進一步地了解了PLC的結構并且掌握了其操作過程以及具體的使用方法。這是我們在課堂上所不能學到的。這次實訓我們見到的是實際的器件而不像課堂上那樣抽象的想象更能引發我們對PLC的興趣。同時讓我們能夠利用充分利用所學過的理論知識和自己的想象能力相結合另外還讓我們學習查找資料的方法以及自己分析問題、處理問題的能力。我相信這對自己相應能力的提高是*好的方法之一。雖然這次實訓老師并沒有給予我們太多的指導但我想這更能鍛煉我們自己分析問題、解決問題的能力并且我得以了驗證。實訓中在我學到了很多知識的同時也看到了自己的不足之處讓我懂得了理論和實踐結合的重要性。在以后的學習生活中我會努力學習專業知識完善自我為將來的發展做好充分的準備。

單容水箱液位定值控制實驗系統組成結構如下圖所示,控制器采用S7-200PLC,被控對象為單容水箱,水箱的液位經液位傳感器測量變送至PLC, PLC對數據進行處理,根據控制要求進行運算,結果經模擬量輸出給執行器,執行器為電動調節閥。上位計算機通過PC/PPI電纜和下位機PLC串口通信,上位機安裝有STEP7-MicroWin編程軟件和組態王監控軟件,可以進行控制算法編程,并為過程控制實驗提供良好的人機界面,可以在實驗時進行參數的設定修改以及響應曲線的在線顯示,進行整個實驗系統的監控。
1液位控制的實現
除模擬PID調節器外,可以采用計算機PID算法控制。首先由差壓傳感器檢測出水箱水位;水位實際值通過單片機進行A/D轉換,變成數字信號后,被輸入計算機中;*后,在計算機中,根據水位給定值與實際輸出值之差,利用PID程序算法得到輸出值,再將輸出值傳送到單片機中,由單片機將數字信號轉換成模擬信號。*后,由單片機的輸出模擬信號控制交流變頻器,進而控制電機轉速,從而形成一個閉環系統,實現水位的計算機自動控制。
2被控對象
本設計探討的是單容水箱的液位控制問題。為了能更好的選取控制方法和參數,有必要知道被控對象一上水箱的結構和特性。
由圖2-1所示可以知道,單容水箱的流量特性:
水箱的出水量與水壓有關,而水壓又與水位高度近乎成正比。這樣, 當水箱水位升高時,其出水量也在不斷增大。所以,若閥V開度適當,在不溢出的情況下,當水箱的進水量恒定不變時,水位的上升速度將逐漸變慢,*終達到平衡。
3、PID控制原理
一般,在控制系統中,控制器*常用的控制規律是PID控制。常規PID控制系統原理框圖如圖3-1所示。系統由模擬PID控制器和被控對象組成。
圖3-1模擬PID控制系統原理框圖
PID控制器。它的控制規律為
寫成傳遞函數形式為
式中 KP--比例系數;
TI-積分時間常數;
TD-微分時間常數;
從系統的穩定性、響應速度、超調量和穩態精度等各方面來考慮, PID控制器各校正環節的作用如下:
1、比例環節
用于加快系統的響應速度,提高系統的調節精度。KP越大,系統的響應速度越快,系統的調節精度越高,但易產生超調,甚至會導致系統不穩定。KP取值過小,則會降低調節精度,使響應速度緩慢,從而延長調節時間,使系統靜態、動態特性變壞。
2、積分環節
主要用來消除系統的穩態誤差。TI越小,系統的靜態誤差消除越快,但TI過小,在響應過程的初期會產生積分飽和現象,從而引起響應過程的較大超調。若TI過大,將使系統靜態誤差難以消除,影響系統的調節精度。
3、微分環節
能改善系統的動態特性,其作用主要是在響應過程中抑制偏差向任何方向的變化,對偏差變化進行提前預報。但TD過大,會使響應過程提前制動,從而延長調節時間,而且會降低系統的抗干擾性能。
4西門子觸摸屏
準確提供了人機界面的標準功能,經濟實用,具備高性價比。作為新一代的人機界面產品,精彩系列操作屏采用了全新的技術和系統設計,個性鮮明,特點突出:
(1),高分辨率寬屏顯示
800× 480 dpi寬屏顯示設計和傳統屏幕相比具有更大的可視面積,使單個畫面中可以顯示更多的信息,讓操作員具有更舒適的視覺體驗,高分辨率使得畫面更清晰,畫質更細膩。
(2).強大且豐富的通訊能力
PPI通訊協議確保精彩系列面板與S7-200建立高速無縫的連接,和S7-200PLC組成完美的小型自動化解決方案。集成的RS 422/485通訊口使精彩系列面板的通訊更加靈活,可以和市場主流的小型PLC建立穩定可靠的通訊連接。
5總結
在此次PLC實訓過程中我們更進一步地了解了PLC的結構并且掌握了其操作過程以及具體的使用方法。這是我們在課堂上所不能學到的。這次實訓我們見到的是實際的器件而不像課堂上那樣抽象的想象更能引發我們對PLC的興趣。同時讓我們能夠利用充分利用所學過的理論知識和自己的想象能力相結合另外還讓我們學習查找資料的方法以及自己分析問題、處理問題的能力。我相信這對自己相應能力的提高是*好的方法之一。雖然這次實訓老師并沒有給予我們太多的指導但我想這更能鍛煉我們自己分析問題、解決問題的能力并且我得以了驗證。實訓中在我學到了很多知識的同時也看到了自己的不足之處讓我懂得了理論和實踐結合的重要性。在以后的學習生活中我會努力學習專業知識完善自我為將來的發展做好充分的準備。



